• 欢迎访问广东省自考网!本站为考生提供广东自考信息服务,网站信息供学习交流使用,非政府官方网站,官方信息以广东教育考试院eea.gd.gov.cn为准。
    城市:
    自考查询:

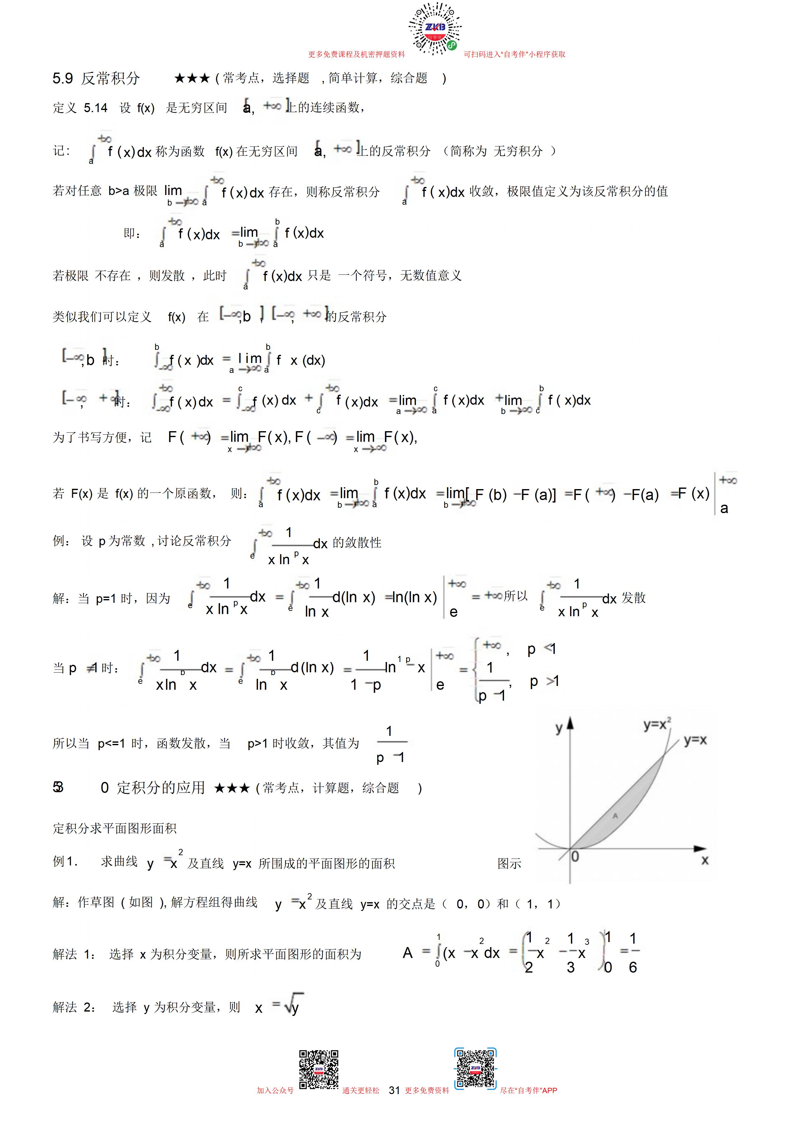
    广东省自考00020高数(一)押题复习资料

    2021-05-31 09:35:08   来源:广东省自考网    点击:
    自考在线学习 +问答
      【导读】10月广东省自考考试已经临近,想必很多考生都对自己所学的专业科目而找资料,以下是广东省自考网为您带来的押题资料汇总,如需获取文件版可关注“广东省自考服务中心”微信公众号或加入考生交流群获取。
     




































    扫码关注“广东省自考服务中心”微信公众号

    回复“押题”获取余下押题资料

    上一篇:广东省自考00018计算机应用基础押题复习资料
    下一篇:广东省自考00041基础会计学押题复习资料

    广东成人学历提升便捷服务

    【2019年成人高考正在报名】

    广东自考培训报名 自考成绩查询入口
    距2018全国成人高考:仅剩 - 9 8

    广东自考课程培训

    广东自考交流群

    扫码加入考生交流群

    一起探讨自学考试

    扫码小程序选择报考专业

    进入在线做题学习

    查看了解自考专业

    查询最新政策公告

    进入历年真题学习